海蓝云分享 http://blog.sciencenet.cn/u/hailanyun0415 夕阳技术的守墓人-邮箱:jkyhly@hnfnu.edu.cn ;hailanyun0415@gmail.com

相册

« 返回图片列表 |当前第 4 张|共 21 张图片 
上一张下一张

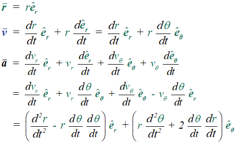
矢量求导公式003

上传于 2018-3-10 21:17 (16 KB)

评论

Archiver|手机版|科学网 ( 京ICP备07017567号-12 )

GMT+8, 2026-2-26 18:03

Powered by ScienceNet.cn

Copyright © 2007- 中国科学报社

返回顶部